| |
Наименьшая единица, которую FreeBSD использует для обращения к файлам, это имя файла. Имена файлов чувствительны к регистру, поэтому readme.txt и README.TXT -- два разных файла. FreeBSD не использует расширение файла (.txt) для определения программа это, документ или другой тип данных.
Файлы хранятся в каталогах. Каталоги могут не содержать файлов, или могут содержать много сотен файлов. Каталоги также могут содержать другие каталоги, что позволяет создавать иерархию каталогов один в другом. Это упрощает организацию данных.
Обращение к файлам происходит путем задания имени файла или каталога, дополняемого прямым слэшем /, за которым может следовать имя другого каталога. Если есть каталог foo, содержащий каталог bar, который содержит файл readme.txt, полное имя, или путь к файлу будет foo/bar/readme.txt.
Каталоги хранятся в файловых системах. Каждая файловая система содержит один каталог на верхнем уровне, называемый корневым каталогом этой файловой системы. Этот корневой каталог может содержать другие каталоги.
Внешне это может быть похоже на те операционные системы, которые вы возможно использовали. Есть несколько отличий: например, MS-DOS® использует \ для разделения имен файлов и каталогов, а Mac OS® использует :.
FreeBSD не использует букв дисков, или других имен дисков в пути. Вам не нужно писать c:/foo/bar/readme.txt в FreeBSD.
Вместо этого, одна файловая система назначается корневой файловой системой. Обращение к корневому каталогу корневой файловой системы происходит через /. Любая другая файловая система монтируется к корневой файловой системе. Неважно как много дисков есть в вашей системе FreeBSD, каждый каталог будет выглядеть как расположенный на том же диске.
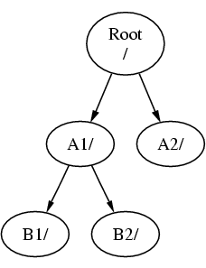
Предположим, у вас есть три файловых системы: A, B, и C. Каждая файловая система имеет один корневой каталог, в котором содержатся другие каталоги, называемые A1, A2 (и аналогично B1, B2 и C1, C2).
Назовем A корневой файловой системой. Если вы используете команду ls для просмотра содержимого каталога, вы увидите два подкаталога, A1 и A2. Дерево каталогов выглядит так:

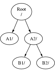
Файловая система должна быть примонтирована к каталогу другой файловой системы. Предположим, что вы монтируете файловую систему B на каталог A1. Корневой каталог B замещается A1, а каталоги в B отображаются соответственно:

Если потребуется, любые файлы из каталогов B1 или B2 могут быть получены через путь /A1/B1 или /A1/B2. Все файлы, бывшие в /A1, временно скрыты. Они появятся, если B будет размонтирована с A.
Если B была смонтирована на A2, диаграмма будет выглядеть так:

а пути будут /A2/B1 и /A2/B2 соответственно.
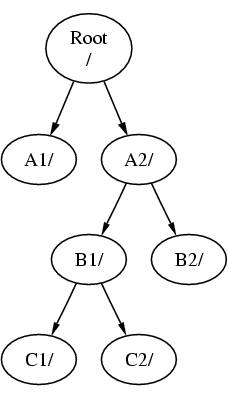
Файловые системы могут быть смонтированы одна на другую. Продолжая предыдущий пример, файловая система C может быть смонтирована на каталог B1 файловой системы B в таком порядке:

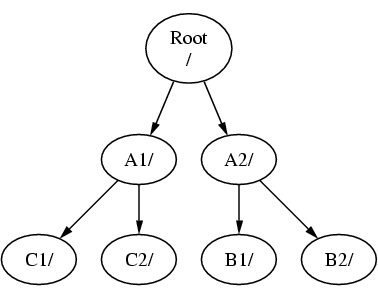
Или C может быть смонтирована прямо на файловую систему A, на каталог A1 :

Если вы знакомы с MS-DOS, это похоже, хотя и не идентично, команде join.
Как правило, это не должно вас интересовать. Обычно вы создаете файловые системы во время установки FreeBSD, решаете куда их монтировать, и ничего не меняете, пока не понадобится добавить новый диск.
Можно создать одну большую корневую файловую систему и не создавать других. У такого подхода есть несколько недостатков и одно преимущество.
Преимущества нескольких файловых систем
Различные файловые системы могут иметь различные опции монтирования. Например, в целях безопасности корневая файловая система может быть смонтирована только для чтения, что делает невозможным случайное удаление или редактирование критически важного файла. Отделение файловых систем, используемых пользователями для записи, таких как /home, от других файловых систем позволяет также монтировать их с параметром nosuid; этот параметр отменяет действие битов suid/ guid на исполняемых файлах, в этой файловой системе, что потенциально повышает безопасность.
FreeBSD автоматически оптимизирует расположение файлов на файловой системе в зависимости от того, как файловая система используется. Файловая система, содержащая множество мелких часто записываемых файлов, будет иметь оптимизацию отличную от таковой для файловой системы, содержащей несколько больших файлов. На одной большой файловой системе эта оптимизация не работает.
Файловые системы FreeBSD очень устойчивы к внезапному отключению. Тем не менее, потеря питания в критический момент все же может повредить структуру файловой системы. Разделение данных на несколько файловых систем повышает шансы, что система все-таки будет работать и делает более легким восстановление с резервной копии.
Преимущество одной файловой системы
Размер файловых систем фиксирован. Если вы создаете файловую систему при установке FreeBSD и задаете определенный размер, позднее вы можете обнаружить что нужен раздел большего размера. Это не так легко сделать без резервного копирования, создания файловых систем нового размера и последующего восстановления сохраненных данных.
Important: В FreeBSD 4.4 и выше представлена новая команда, growfs(8), которая позволяет увеличивать размер файловой системы на лету, устраняя это ограничение.
Файловые системы содержатся в разделах. Этот термин не имеет того же смысла, что и при более раннем его использовании в этой главе, из-за наследия UNIX® в FreeBSD. Каждый раздел обозначается буквой от a до h. Каждый раздел может содержать только одну файловую систему, это значит что файловая система может быть описана ее точкой монтирования в файловой иерархии, или буквой раздела, в котором она содержится.
FreeBSD также использует дисковое пространство под раздел подкачки (swap space). Подкачка позволяет FreeBSD работать с виртуальной памятью. ваш компьютер может работать так, как если бы у него было больше памяти, чем есть на самом деле. Когда у FreeBSD кончается память, она перемещает часть данных, не используемых в данный момент, в раздел подкачки и возвращает их обратно (перемещая в подкачку что-то другое), когда они нужны.
По некоторым разделам есть определенные соглашения.
| Раздел | Соглашение |
|---|---|
| a | Как правило, содержит корневую файловую систему |
| b | Как правило, содержит раздел подкачки |
| c | Как правило, такого же размера, что и весь слайс (slice). Это позволяет утилитам, которым нужно работать над всем слайсом (например, сканер плохих блоков), работать с разделом c. В обычной ситуации не нужно создавать файловую систему на этом разделе. |
| d | Раздел d создавался для специальных целей, хотя сейчас не используется. На настоящий момент, некоторые утилиты могут работать некорректно при попытке обращения к d, поэтому sysinstall обычно не создает раздел d. |
Каждый раздел-содержащий-файловую-систему хранится на том, что во FreeBSD называется слайс (slice). Слайс -- это термин FreeBSD, то, что обычно называют разделом, и опять же это из-за UNIX основы FreeBSD. Слайсы нумеруются с 1 по 4.
Номера слайсов следуют за именем устройства, предваряемые строчной s, начиная с 1. Так ``da0s1'' это первый слайс первого SCSI устройства. Может быть только четыре физических слайса на диске, но могут быть логические слайсы нужного типа внутри физических слайсов. Эти дополнительные слайсы нумеруются начиная с 5, так что ``ad0s5'' это первый дополнительный слайс на первом IDE диске. Эти устройства используются файловыми системами, занимающими весь слайсе.
Слайсы, ``эксклюзивно выделенные (dangerously dedicated)'' физические устройства и другие устройства содержат разделы, представляемые буквами от a до h. Эти буквы добавляются к имени устройства, ``da0a'' это раздел a на первом устройстве da, который ``эксклюзивно выделен''. ``ad1s3e'' это пятый раздел в третьем слайсе второго IDE диска.
Наконец, каждый диск идентифицирован. Имя диска начинается с кода, обозначающего тип диска, затем идет номер, обозначающий который это диск. В отличие от слайсов, нумерация дисков начинается с 0. Основные коды, которые вам могут встретиться, есть в списке Table 3-1.
В то время, как ссылка на раздел FreeBSD требует также указания слайса и диска, содержащего раздел, ссылка на слайс требует также указания имени диска. Делайте это указанием имени диска, s, номера слайса, и затем буквы раздела. Примеры показаны в Example 3-1.
Example 3-2 показывает концептуальную модель диска, которая должна помочь прояснить ситуацию.
Для установки FreeBSD вы должны сначала настроить слайсы дисков, затем создать разделы внутри слайсов, которые будут использованы для FreeBSD, а затем создать файловую систему (или подкачку) в каждом разделе и решить куда файловая система будет смонтирована.
Table 3-1. Коды дисковых устройств
| Код | Значение |
|---|---|
| ad | ATAPI (IDE) диск |
| da | SCSI direct access диск |
| acd | ATAPI (IDE) CDROM |
| cd | SCSI CDROM |
| fd | Floppy disk |
Example 3-2. Концептуальная модель диска
Эта диаграмма показывает первый подключенный к системе IDE диск с точки зрения FreeBSD. Предположим, что размер диска 4 GB, и он содержит два 2 GB слайса (MS-DOS разделы). Первый слайс содержит MS-DOS диск, C:, а второй слайс содержит установленную FreeBSD. В этом примере в установленной FreeBSD три раздела и раздел подкачки.
В каждом из трех разделов есть файловая система. Раздел a используется для корневой файловой системы, e для иерархии каталогов /var, а f для иерархии каталогов /usr.

Этот, и другие документы, могут быть скачаны с ftp://ftp.FreeBSD.org/pub/FreeBSD/doc/.
По вопросам связанными с FreeBSD, прочитайте документацию прежде чем писать в <questions@FreeBSD.org>.
По вопросам связанным с этой документацией, пишите <doc@FreeBSD.org>.
По вопросам связанным с русским переводом документации, пишите <frdp@FreeBSD.org.ua>.
|
Закладки на сайте Проследить за страницей |
Created 1996-2026 by Maxim Chirkov Добавить, Поддержать, Вебмастеру |